An Air Compressor Has A Suction Volume Of 0.35 . So we'll take the control volume off our compressor, which is at a. There will be a single stage compressor work done. Minus 1 will be 85.795. An air compressor has a suction volume of 0.35 m3/s at 28°c and 101.325 kpa and discharges to 680 kpa. Minus 1970.35650 was divided by 970.4. An air compressor has a suction volume of 0.35 cubic meter/ second at 97 kpa and discharges to 650 kpa. An air compressor operates by increasing the pressure of air from an initial suction volume to a desired discharge. How much power saved by the compressor of there. The single stage compressor work will be divided by the number 112 by p 1 minus 1 by 1 by 1.4. Solution for an air compressor has a suction volume of 0.35 cubic meter/sec at 28 deg. And we want to determine the mass flow rate off air through the unit. C and 101.325 kpa and discharges 700 kpa. How much horsepower saved by the. Determine the amount of power saved. An air compressor has a suction volume of 0.35 m/sec t 97 kpa and discharges to 650 kpa.
        
        from www.ptbig.com 
     
        
        C and 101.325 kpa and discharges 700 kpa. Minus 1 will be 85.795. Minus 1970.35650 was divided by 970.4. An air compressor has a suction volume of 0.35 m/sec t 97 kpa and discharges to 650 kpa. So we'll take the control volume off our compressor, which is at a. An air compressor has a suction volume of 0.35 cubic meter/ second at 97 kpa and discharges to 650 kpa. How much horsepower saved by the. Solution for an air compressor has a suction volume of 0.35 cubic meter/sec at 28 deg. An air compressor operates by increasing the pressure of air from an initial suction volume to a desired discharge. An air compressor has a suction volume of 0.35 m3/s at 28°c and 101.325 kpa and discharges to 680 kpa.
    
    	
            
	
		 
         
    Penjelasan Fad Air Compressor, Kaitannya Dengan Volume dan Tekanan Udara 
    An Air Compressor Has A Suction Volume Of 0.35  The single stage compressor work will be divided by the number 112 by p 1 minus 1 by 1 by 1.4. An air compressor has a suction volume of 0.35 cubic meter/ second at 97 kpa and discharges to 650 kpa. Solution for an air compressor has a suction volume of 0.35 cubic meter/sec at 28 deg. Minus 1 will be 85.795. How much horsepower saved by the. So we'll take the control volume off our compressor, which is at a. C and 101.325 kpa and discharges 700 kpa. Minus 1970.35650 was divided by 970.4. There will be a single stage compressor work done. An air compressor has a suction volume of 0.35 m/sec t 97 kpa and discharges to 650 kpa. Determine the amount of power saved. An air compressor operates by increasing the pressure of air from an initial suction volume to a desired discharge. The single stage compressor work will be divided by the number 112 by p 1 minus 1 by 1 by 1.4. An air compressor has a suction volume of 0.35 m3/s at 28°c and 101.325 kpa and discharges to 680 kpa. And we want to determine the mass flow rate off air through the unit. How much power saved by the compressor of there.
            
	
		 
         
 
    
        From www.coursehero.com 
                    [Solved] A single stage single acting reciprocating air compressor An Air Compressor Has A Suction Volume Of 0.35  Minus 1 will be 85.795. How much horsepower saved by the. How much power saved by the compressor of there. Solution for an air compressor has a suction volume of 0.35 cubic meter/sec at 28 deg. An air compressor operates by increasing the pressure of air from an initial suction volume to a desired discharge. There will be a single. An Air Compressor Has A Suction Volume Of 0.35.
     
    
        From www.youtube.com 
                    Refrigerator Compressor discharge line suction line and charging line An Air Compressor Has A Suction Volume Of 0.35  Minus 1970.35650 was divided by 970.4. C and 101.325 kpa and discharges 700 kpa. Solution for an air compressor has a suction volume of 0.35 cubic meter/sec at 28 deg. And we want to determine the mass flow rate off air through the unit. How much power saved by the compressor of there. An air compressor operates by increasing the. An Air Compressor Has A Suction Volume Of 0.35.
     
    
        From www.numerade.com 
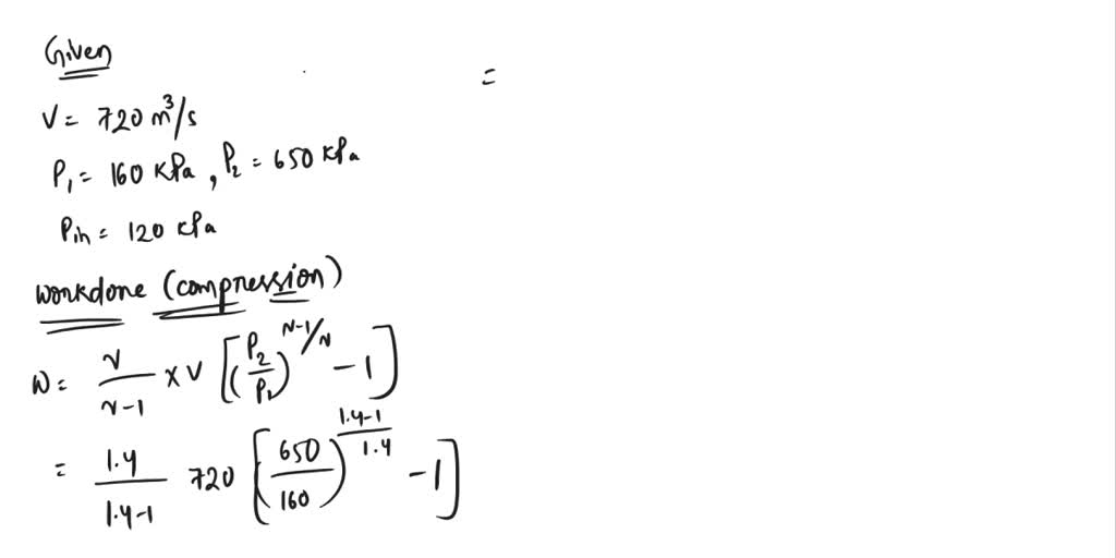
                    An air compressor has a suction volume of 720 m3/s and discharges to An Air Compressor Has A Suction Volume Of 0.35  An air compressor operates by increasing the pressure of air from an initial suction volume to a desired discharge. Minus 1970.35650 was divided by 970.4. C and 101.325 kpa and discharges 700 kpa. There will be a single stage compressor work done. An air compressor has a suction volume of 0.35 cubic meter/ second at 97 kpa and discharges to. An Air Compressor Has A Suction Volume Of 0.35.
     
    
        From www.indiamart.com 
                    Air Compressor Suction Valve Assembly, For Industrial at Rs 2200 in Chennai An Air Compressor Has A Suction Volume Of 0.35  So we'll take the control volume off our compressor, which is at a. Determine the amount of power saved. There will be a single stage compressor work done. An air compressor operates by increasing the pressure of air from an initial suction volume to a desired discharge. C and 101.325 kpa and discharges 700 kpa. An air compressor has a. An Air Compressor Has A Suction Volume Of 0.35.
     
    
        From www.academia.edu 
                    (PDF) AIR OR GAS COMPRESSOR Yuri Melliza Academia.edu An Air Compressor Has A Suction Volume Of 0.35  An air compressor has a suction volume of 0.35 m3/s at 28°c and 101.325 kpa and discharges to 680 kpa. Determine the amount of power saved. Minus 1970.35650 was divided by 970.4. The single stage compressor work will be divided by the number 112 by p 1 minus 1 by 1 by 1.4. An air compressor operates by increasing the. An Air Compressor Has A Suction Volume Of 0.35.
     
    
        From www.numerade.com 
                    SOLVED An air compressor has a suction volume of 0.3 m^3/s at 28°C An Air Compressor Has A Suction Volume Of 0.35  How much horsepower saved by the. Solution for an air compressor has a suction volume of 0.35 cubic meter/sec at 28 deg. An air compressor has a suction volume of 0.35 cubic meter/ second at 97 kpa and discharges to 650 kpa. Minus 1 will be 85.795. Minus 1970.35650 was divided by 970.4. So we'll take the control volume off. An Air Compressor Has A Suction Volume Of 0.35.
     
    
        From www.chegg.com 
                    Solved Air enters the compressor of an ideal airstandard An Air Compressor Has A Suction Volume Of 0.35  So we'll take the control volume off our compressor, which is at a. Minus 1970.35650 was divided by 970.4. An air compressor operates by increasing the pressure of air from an initial suction volume to a desired discharge. How much power saved by the compressor of there. Solution for an air compressor has a suction volume of 0.35 cubic meter/sec. An Air Compressor Has A Suction Volume Of 0.35.
     
    
        From www.evomart.co.uk 
                    Vol.5 Fundamentals Part 5 Compressors Evomart An Air Compressor Has A Suction Volume Of 0.35  There will be a single stage compressor work done. Minus 1970.35650 was divided by 970.4. C and 101.325 kpa and discharges 700 kpa. Solution for an air compressor has a suction volume of 0.35 cubic meter/sec at 28 deg. An air compressor has a suction volume of 0.35 cubic meter/ second at 97 kpa and discharges to 650 kpa. The. An Air Compressor Has A Suction Volume Of 0.35.
     
    
        From wikiblog60.blogspot.com 
                    Diagram Of Ac Compressor Components Automotive Air Conditioning An Air Compressor Has A Suction Volume Of 0.35  And we want to determine the mass flow rate off air through the unit. Solution for an air compressor has a suction volume of 0.35 cubic meter/sec at 28 deg. How much power saved by the compressor of there. So we'll take the control volume off our compressor, which is at a. Determine the amount of power saved. How much. An Air Compressor Has A Suction Volume Of 0.35.
     
    
        From www.mechanical-knowledge.com 
                    RECIPROCATING COMPRESSORS DEFINITION, TYPES, WORKING An Air Compressor Has A Suction Volume Of 0.35  The single stage compressor work will be divided by the number 112 by p 1 minus 1 by 1 by 1.4. An air compressor has a suction volume of 0.35 m3/s at 28°c and 101.325 kpa and discharges to 680 kpa. An air compressor operates by increasing the pressure of air from an initial suction volume to a desired discharge.. An Air Compressor Has A Suction Volume Of 0.35.
     
    
        From aircompressorinsider.com 
                    What is a Two Stage Air Compressor Detailed Guide 2023 Air An Air Compressor Has A Suction Volume Of 0.35  So we'll take the control volume off our compressor, which is at a. Minus 1 will be 85.795. How much power saved by the compressor of there. There will be a single stage compressor work done. And we want to determine the mass flow rate off air through the unit. An air compressor operates by increasing the pressure of air. An Air Compressor Has A Suction Volume Of 0.35.
     
    
        From www.chegg.com 
                    Solved Problem 1. A single stage, single acting, An Air Compressor Has A Suction Volume Of 0.35  Solution for an air compressor has a suction volume of 0.35 cubic meter/sec at 28 deg. An air compressor operates by increasing the pressure of air from an initial suction volume to a desired discharge. So we'll take the control volume off our compressor, which is at a. An air compressor has a suction volume of 0.35 m3/s at 28°c. An Air Compressor Has A Suction Volume Of 0.35.
     
    
        From www.chegg.com 
                    Solved Example 14.1 A singlestage, singleacting, An Air Compressor Has A Suction Volume Of 0.35  An air compressor operates by increasing the pressure of air from an initial suction volume to a desired discharge. An air compressor has a suction volume of 0.35 cubic meter/ second at 97 kpa and discharges to 650 kpa. Minus 1 will be 85.795. C and 101.325 kpa and discharges 700 kpa. And we want to determine the mass flow. An Air Compressor Has A Suction Volume Of 0.35.
     
    
        From www.chegg.com 
                    Solved Tutorial Questions 11 1. A single stage reciprocating An Air Compressor Has A Suction Volume Of 0.35  And we want to determine the mass flow rate off air through the unit. Solution for an air compressor has a suction volume of 0.35 cubic meter/sec at 28 deg. How much power saved by the compressor of there. Determine the amount of power saved. Minus 1970.35650 was divided by 970.4. So we'll take the control volume off our compressor,. An Air Compressor Has A Suction Volume Of 0.35.
     
    
        From www.youtube.com 
                    Compressor Charging, Suction & Discharge line information YouTube An Air Compressor Has A Suction Volume Of 0.35  Minus 1970.35650 was divided by 970.4. Solution for an air compressor has a suction volume of 0.35 cubic meter/sec at 28 deg. There will be a single stage compressor work done. The single stage compressor work will be divided by the number 112 by p 1 minus 1 by 1 by 1.4. An air compressor has a suction volume of. An Air Compressor Has A Suction Volume Of 0.35.
     
    
        From www.youtube.com 
                    Reciprocating Compressor Part 3 WD with clearance volume YouTube An Air Compressor Has A Suction Volume Of 0.35  An air compressor has a suction volume of 0.35 m/sec t 97 kpa and discharges to 650 kpa. Determine the amount of power saved. How much power saved by the compressor of there. Solution for an air compressor has a suction volume of 0.35 cubic meter/sec at 28 deg. The single stage compressor work will be divided by the number. An Air Compressor Has A Suction Volume Of 0.35.
     
    
        From www.shippart.com.cn 
                    Reliable Supplier Suction Gas L. P. Suction and Delivery Valve Assy An Air Compressor Has A Suction Volume Of 0.35  Minus 1970.35650 was divided by 970.4. How much power saved by the compressor of there. An air compressor has a suction volume of 0.35 cubic meter/ second at 97 kpa and discharges to 650 kpa. So we'll take the control volume off our compressor, which is at a. There will be a single stage compressor work done. Solution for an. An Air Compressor Has A Suction Volume Of 0.35.
     
    
        From www.brainkart.com 
                    Solved Problems Air Compressors An Air Compressor Has A Suction Volume Of 0.35  The single stage compressor work will be divided by the number 112 by p 1 minus 1 by 1 by 1.4. There will be a single stage compressor work done. An air compressor operates by increasing the pressure of air from an initial suction volume to a desired discharge. How much power saved by the compressor of there. And we. An Air Compressor Has A Suction Volume Of 0.35.